La norma de la estanflación

Esta figura muestra la relación a largo plazo entre las medidas convencionales de inflación y el crecimiento económico en los EE. UU. (serie suavizada como promedios de 20 años).
Como puedes ver, la relación no es positiva, sino negativa. La inflación baja se asocia con un crecimiento alto, mientras que la inflación alta suele ir acompañada de estancamiento, justo lo contrario de lo que la teoría convencional quiere que creamos.
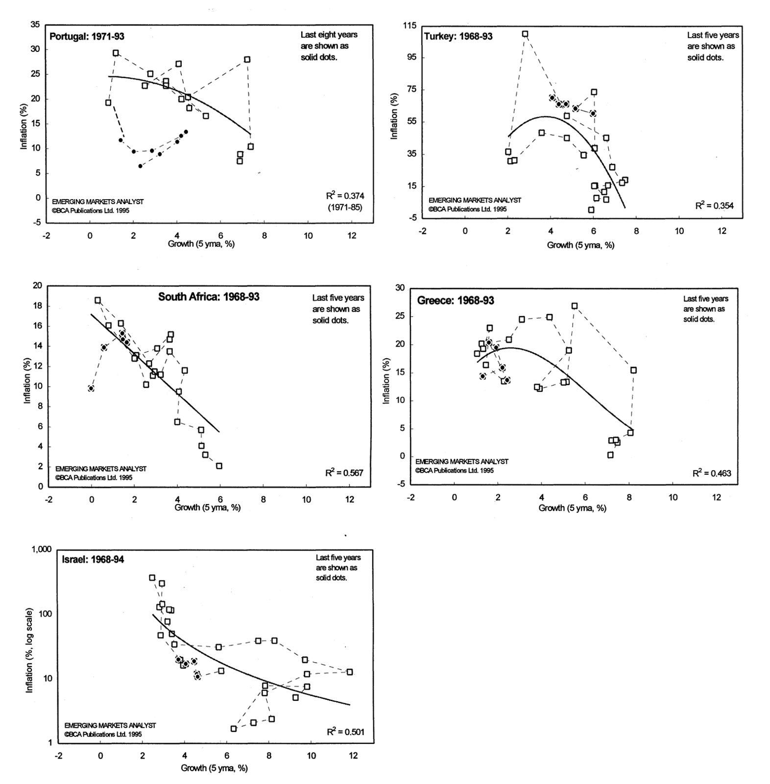
Esta inversión no se limita a los EE. UU. Durante el período de posguerra, la correlación negativa entre crecimiento e inflación parece haberse convertido en la regla y no en la excepción. Aquí está la relación inflación-crecimiento en los países industrializados ( https://bnarchives.yorku.ca/8/ )

Aquí está la misma relación para varios países individuales ( https://bnarchives.yorku.ca/694/ )

Estos datos plantean una pregunta obvia: si la estanflación es la norma y los precios tienden a subir en medio de la holgura, entonces no hay escasez material; pero si no hay escasez ‘real’, ¿por qué los compradores están dispuestos a pagar precios más altos?
La respuesta corta es que por lo general no están dispuestos; son forzados. Y la forma de forzarlas es creando, imponiendo y manteniendo diversas formas de crisis social, aparente o real.
Ejemplos de tales crisis: las hostilidades militares durante la Primera Guerra Mundial, la crisis de reparación de Alemania en la década de 1920, la crisis mundial del petróleo de la década de 1970, el aumento del desempleo en Israel durante la década de 1980, la inestabilidad política en Rusia en la década de 1990, el impago de la deuda en Argentina en la década de 1970. principios de la década de 2000, ‘productos básicos máximos’ a fines de la década de 2000, Covid19 en 2020-2: todos estos son ejemplos de tales crisis desencadenantes de inflación.
El punto clave es que estas crisis desencadenantes de la inflación pueden ser reales o falsas, pero rara vez son crisis de ‘escasez’ física . En todos ellos, la ‘escasez’ no se crea por la falta de productos básicos, sino por el aumento de los precios por parte de los vendedores.
Tomemos el ejemplo del petróleo . Como muestra este gráfico, el precio ‘real’ del petróleo (deflactado por el IPC de EE. UU.) no tiene nada que ver con el exceso de consumo/producción. No es el resultado de la escasez física, sino de los ‘conflictos energéticos’ en las regiones productoras de petróleo (el último fue la invasión rusa de Ucrania).

Y en este y en todos los demás casos, la inflación siempre es redistributiva .
Fuente: https://capitalaspower.com/casp-forum/topic/the-stagflation-norm/
